Here it is, the long-awaited proof for the existence of God (for your consideration).
I have taken the liberty of defining discretely what God is, without which there is no question to be answered (easily).
Omnipresence is typically a requirement for Godhood. This is far greater an assumption than the axioms defined here.
The corollaries describes the basic criteria for an individual to be considered to be GOD.
Supposing the axiomatic assumptions:
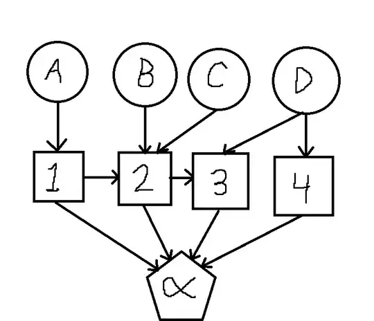
Axiom A. There are infinite non-existent entities.
See ([1] [does-theism-have-the-burden-of-proof][1]) for details on the given, which is Axiom A (simplified).
This does not negate God's existence, only assumes nonexistence.
Axiom B. God has choice, even without existing.
Axiom C. If God could, God would choose to exist.
Axiom D. God can will God's self into (eternal) existence.
Eternal means: There is (at least some space, possibly infinite) but no Time. Or, Time (and a subspace) is created within Eternal Existence.
In the first case, everything happens at once, but (possibly infinite) Time is within that space.
In the latter case, Time does not exist, so everything happens at once.
Either way, one may exist outside of Time.
The assumption that God can do these things is based on the definition of God as a supreme being with perfect power and perfect good. (2 Merriam-Webster). Here, this is not even assumed, just the power to exist and to choose, as well as the goodness to want to exist.
We have the following logical considerations:
Corollary 1. God does not-exist. (Follows from Axiom A) This does not negate God's existence, only assumes nonexistence.
Corollary 2: God chooses to exist, even if God does not exist. (Follows from Corollary 1 and Axioms B & C)
Corollary 3: God does will self into (eternal) existence (Follows from Corollary 2 & Axiom D)
Corollary 4: If God exists eternally, God always exists (Follows from Axiom D)
If one exists eternally, one existed at the beginning of Time.
If one exists eternally, one does not expire (has always existed from birth, exists and will always exist).
There need not, ever, be any evidence of one's existence for the above (may call this a spiritual existence).
Conclusion α: God does exist. (Follows from Corollaries 1, 2, 3 & 4)
Theism does have the burden of proof.
The exact mathematical logic for which the axioms are formally defined and corollaries and conclusion follow, can be trivially described by a discrete mathematician.
Perfect power and perfect goodness and perfect wisdom follow from these corollaries, having done the most critical things for all, without which none of the others could exist. You could say that these perfect qualities are resultant from the axioms, not the other way around. This may in fact be the primary hang-up (pardon me, O God for the horrible pun) in proving the existence of God. Also shown are God's supremacy (perfect power), as well as being the ultimate reality (who makes Time exist, or makes exist the Being that makes Time exist). In either case we are obviously in Time, meaning (this is from the definition) that Time is not the ultimate reality.
This is a proposed proof of the existence of God. Is it acceptable?
Related to:
1 does-theism-have-the-burden-of-proof
2 Merriam-Webster definition of God
3 P.O.G. Logical Flow Chart
