What is the physical reason for difference in sound when using fingers instead of pick and vice versa?
-
2All comments have been purged. Please everyone remember to be civil regardless of people's opinions on the matter. Any future comments that don't keep this in mind will also be purged. – Dom May 16 '19 at 13:26
8 Answers
Per a suggestion, I am converting my comment into an answer.
WARNING: math ahead
(uh-oh, it looks like Music.SE doesn't support MathJAX -- I am going to go ahead and post the TeX code anyway and try to explain it in plain english along the way. I also added a meta request to see if we can't fix the MathJAX problem.)
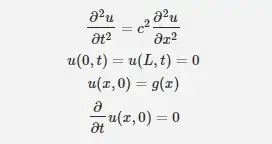
Discounting the inharmonicity due to the bending stiffness of the string, and discounting the damping behavior, the behavior of a guitar string can be modeled as a one-dimensional initial value problem (partial differential equation in space and time with boundary and initial conditions).
$$
\frac{\partial^2 u }{\partial t^2} = c^2 \frac{\partial^2 u}{\partial x^2} \\
u(0,t) = u(L,t) = 0 \\
u(x,0) = g(x) \\
\frac{\partial}{\partial t} u(x,0) = 0
$$
In english:
First line: The acceleration of any particular bit of string is proportional to the local curvature.
Second line: The two ends of the string are fixed.
Third line: At the moment of release, the string is pulled to some particular shape.
Fourth line: The string is simply pulled to a shape and released -- the "plucker" does not impart any velocity to the string (i.e., you are pulling and letting go, not "throwing" or "pushing" the string).
The solution to this equation cannot really be written in a closed form for a bounded problem. Instead, the behavior generally consists of a linear combination of eigenfunctions, which are of the form
$$
u(x,t) = \sum_{n} k_n \cos \left(\frac{n \pi x}{2L}\right) \cos \left(\frac{n \pi ct}{2L}\right)
$$
If either you can see through this TeX code or Music.SE enables MathJAX, those who are mathematically inclined should recognize this as simply a weighted sum of the harmonics of the fundamental frequency $c$.
What does all that mean?
The sound you hear is simply a function of the different $k_n$ values (where $n$ is the number of each harmonic). Those values are simply the Fourier coefficients of the initial shape of the guitar string at the exact moment of release.
I'll spare you the math on these, but in general, the rule of thumb is that the "pointier" the initial shape, the higher the $k_n$ values are for large values of $n$ and the more brilliant the sound. The rounder the shape, the smaller those values are and the duller the sound.
Ok, but how does this circle back to picked vs fingered?
Simply put, the pick is stiffer than your finger, and it comes to a sharper point than your finger does. If you look at the initial shape at the exact moment of release, the picked string is going to come to a sharper point than a finger-plucked string. The $k_n$ rules above then apply, and the rest is just math.
What about the assumptions?
Thick guitar strings will have an inharmonicity term proportional to the fourth spatial derivative of the displacement. This severely complicates the appearance of the solution, the end result of which is that higher level harmonics are not exact multiples of the fundamental frequency. For the purposes of answering this question, this is immaterial.
There are also damping terms proportional to the velocity of the string (first time derivative of displacement) for viscous damping, and proportional to the square of the velocity of the string for aerodynamic damping. The general effect of these terms is that each harmonic's $k_n$ value fades to zero over time, with higher harmonics fading faster than lower harmonics. Again, for the purposes of answering this question, this is immaterial.
- 845
- 6
- 10
-
12In a case like this, you could probably be forgiven for posting an image of the formulas. – Your Uncle Bob May 15 '19 at 18:40
-
-
@YourUncleBob I'm hoping it's a reasonably simple thing to just enable MathJAX, as it's available on numerous other SE sites. Compiling each of the formulas into an image and posting them is considerably more involved. – Tristan May 15 '19 at 20:06
-
1Probably worth noting to the less mathematically inclined that Fourier coefficients are what spectrograms show. – trognanders May 15 '19 at 23:28
-
1However, not all pick come to a sharp point and it depends on attack. There is still a dimension missing to this. But one of the best answers I've seen. – May 16 '19 at 01:16
-
3_"the picked string is going to come to a sharper point than a finger-plucked string"_ - also the tension doesn't release immediately with a finger, it rolls off your finger-tip, whereas with the pick it's more immediate – BlueRaja - Danny Pflughoeft May 16 '19 at 02:13
-
@ggcg The important part is that the contact area with the string is a sharper point. The answer could make this clearer. – Graham May 16 '19 at 10:44
-
1
-
"the higher the $k_n$ values are for large values of $n$ and the more brilliant the sound." For those who haven't been scared off yet by all the math, the less dispersed the displacement is in position space, the more dispersed it is in frequency space. This ties in with the Heisenberg Uncertainty Principle: since the momentum of a photon is proportional to its frequency, "lower positional dispersion means higher frequency dispersion" translates to "lower uncertainty about where the photon is means higher uncertainty about its momentum". – Acccumulation May 16 '19 at 14:53
-
The pick itself makes a noise that your fiinger doesn't make. This sound is obviously more percussive or scrapey (for lack of a better term) and is more obvious with little or no amplification. – Hucker May 16 '19 at 15:04
-
1@ggcg Yes, picks come in all different shapes, but I think it's reasonable to address the most common pointed pick shape and how it differs from a rounded finger shape, and then allow readers to take it from there on the fact that a rounded pick will sound more like a finger than a pointed pick. – Todd Wilcox May 16 '19 at 15:33
-
If you turn the reference to your meta post into a link to the meta post, it may help it get traction with people who found this answer helpful in the hopes of better supporting similar answers in the future. – ThunderGuppy May 16 '19 at 19:48
The reason for the difference in sound is that the release of the string from the pick is faster than with fingers, which means that fewer of the upper harmonics are damped as the string is released. This gives the pick a brighter sound than the fingers.
- 6,314
- 15
- 23
-
2Might want to expand to define "faster" as " 2nd, 3rd, and higher derivatives of position are much greater :-) . But I suspect (and can't prove without a good o'scope) that you are correct that dampening occurs. I know from experience that (cello) I get significantly different overtones depending on how far from the midpoint I pluck pizzicato. – Carl Witthoft May 15 '19 at 14:30
-
Your answer seems to imply that a guitarist cannot control their pick or hand. It is simply false. One can set up initial conditions for both s.t. the speed and attack are the same. – May 15 '19 at 15:02
-
The difference in frequency content is more likely due to the difference in material. – May 15 '19 at 15:03
-
@Tristan - If I understand correctly, you propose different mechanism: initial string shape vs. string dampening by soft skin proposed by Scott, right? I wonder which one is it, maybe it's both but to different degree... – zduny May 15 '19 at 15:38
-
@ggcg - I didn't take his answer to imply that, but rather that the release is faster because the process of a string coming off a hard pick is short in duration, while coming off a soft finger takes a longer period of time while the pressure on the string decreases until it finally loses contact. – Don Branson May 15 '19 at 15:46
-
1@mrpyo It's **both** initial string shape and total string displacement, as documented in my answer. This answer is simply wrong. – Todd Wilcox May 15 '19 at 16:52
-
@ToddWilcox Well, I'm in a bit of a pickle now - I want to accept an answer, but have no idea which one is correct... – zduny May 15 '19 at 17:49
-
2@mrpyo You could look at the references yourself and do some web searches. You could also wait and see how the voting goes on the answers and how the comments develop and let the community advise you. In any case, you don't have to hurry to accept, you can wait as long as you want. – Todd Wilcox May 15 '19 at 17:55
-
1@ToddWilcox Why must you insist that this answer is wrong when your own answer quotes "Thicker picks (tend to) remain in contact with the string longer..."? The key concepts of "faster release" and "remain in contact longer" essentially are describing the same thing. Although this answer is incomplete, it is not "simply wrong". – C Perkins May 16 '19 at 19:36
-
@CPerkins If by "faster" this answer means "sooner", that's news to me. But the second part about "damping" upper harmonics via longer string contact doesn't have any support in the research I was able to find. That assertion requires a citation. At some point, the string is released and the initial shape of the string is set. I don't see how what happens before release has much effect on the sound, and I haven't found any research suggesting that what happens before release has an effect. The longer contact time leads to more initial displacement, not any kind of "damping". – Todd Wilcox May 16 '19 at 19:56
-
@CPerkins Tristan was more subtle about it, but his comment also explains how this answer is wrong. It has nothing to do with anything being "faster". – Todd Wilcox May 16 '19 at 20:03
The difference is caused by the different shape of the plucking implement. One easy way to verify this at home is to take your pick (same material and thickness), and pluck the strings with the back of the pick or the side of the pick. The tone will be different because of the different profile of the pick (pointed versus rounded).
Also, the thickness of the plucking device makes a difference.
The primary link between the shape and thickness of the plucking device and the change in tone is the difference in initial displacement of the string:
Quoting (emphasis mine):
Plucking with a sharp object such as a plectrum accentuates the higher harmonics in contrast with plucking with the finger or a soft object. This is because the initial displacement is highly angular in form. In order to achieve such a displacement curve... many higher order modes must be introduced, which would not have been the case if the curve had been more rounded
The Musician's Guide To Acoustics, Campbell & Greated, 1994
A more rounded and/or softer plucking instrument produces a more rounded initial string displacement which excites fewer high harmonics in the resulting motion of the string.
Regarding the thickness difference between the pick and the finger (or between different picks), we already have a Q&A here: Why do thicker guitar picks result in a darker tone color?
Quoting the accepted answer to the above question:
Thicker picks (tend to) remain in contact with the string longer. The impulse provided to the string is of longer duration. A longer duration pulse imparts more lower frequency and less higher frequency content.
See: http://acoustics.org/pressroom/httpdocs/160th/carral.html
- 53,618
- 6
- 108
- 185
-
This. And to add to this answer, if you have reasonable fingernails then it is perfectly possible to pluck the strings so that only the nail hits the string in a "rest stroke" (which is how a pick travels). The result sounds just like a thinner pick. Replace your normal nails with acrylics, as some guitarists do, and you're even more clearly into pick territory. The shape of how you file or cut your fingernails also has an effect, in the same way as playing with a sharp piece of plastic or a rounded pick. – Graham May 15 '19 at 17:18
-
And given that these different tones are available, it becomes a question of what tone you want. Segovia's ideas of how the right hand fingers should pick the strings were particularly influential, of course, but there have been other approaches. – Graham May 15 '19 at 17:24
As an addition to the other answers, here's the frequency spectrum of an open low E string of an electric guitar (a Squier strat with a bridge humbucker), strummed with the fleshy part of the finger, plucked with a fingernail, and picked with a plectrum (a Dunlop Delrin-500 .71mm). I played each note a couple of times and then selected one that sounded representative, and was of somewhat equal volume.
For the attack phase I used the first 250 ms of the note, for the sustain phase I used the part from 1 to 1.5 seconds. The graph shows the level in dB of frequencies from 50 Hz to 15 kHz on a logarithmic scale.
I don't make any claims as to how scientific this is, but it's better than looking at the black body radiation of an incandescent light bulb :-)
I think it's fair to say that there is a clear difference in the spectrum of the plectrum-picked note; the harmonics up to around 10 are of comparable amplitude, whereas in the finger-plucked note the first three harmonics clearly dominate the sound. The frequencies between 1 and 2 kHz are also more prominent, and the troughs around 2.5, 6 and 10 kHz are narrower and they all but disappear in the attack phase.
- 3,632
- 2
- 16
- 34
-
4Nice. I once heard an actual engineering professor say "Far be it from me to suggest you should ever calculate anything you can measure." – Jason May 17 '19 at 02:49
Good answers, but they're either incomplete or very technical.
The simple answer is that the shape and stiffness of your finger is different from the shape and stiffness of the pick. For this description, let's presume that the pick is an infinitely hard single point that releases the string instantaneously. In reality, a pick is an edge, like a tiny violin bow, but that can be ignored if you're comparing it to a finger.
By comparison, your finger is a soft, round shape. When it releases the string, the string slides across the finger's surface. Imagine that you ran a circle of sandpaper across the string. Each of the grains would provide a tiny pluck. Similarly, your finger also sends many microscopic plucks (waves) down the string.
Unlike with a pick, These waves will have origins that are the entire width of your finger, and that will slightly alter the harmonics that they produce.
Your finger is also soft. This means that any wave that runs into it mid-pluck will be absorbed by your finger's surface, decreasing the strength of the wave as it travels down the string. This is a much smaller effect than the one you get when you hold a finger above the string at a fret in order to isolate a harmonic, but it's still noticeable in the resulting sound.
The combination of these factors results in a blurring of the tone that is produced. Although not nearly as extreme, the audio effect can be compared to the visual effect of the differences between the spiky spectrum that a florescent bulb produces

and the smooth spectrum of black body radiation you get from an incandescent bulb.

- 121
- 3
-
1The analogy is nice, but you'd be better serving the community if you could track down audiograms of different attacks, -- even if you have to settle for, say, piano vs. harpsichord. – Carl Witthoft May 15 '19 at 19:22
-
Again, someone is asserting as fact that all pick and fingers are the same. You don't know that. – May 16 '19 at 01:14
-
2This doesn’t seem to address why different shapes of picks also sound different. @ggcg I wonder if there’s something about this topic that you are interpreting differently from most of the rest of us. I’m not able to understand the wording of your criticisms of the question or the answers. I don’t think whether all picks or fingers are the *same* is important. 99% of picks are much more similar to each other than they are to 99% of fingers. The differences between most fingers and most picks are very clear and well-documented. That’s what the question seems to be about. – Todd Wilcox May 16 '19 at 11:58
-
1The major piece missing is method of attack. You can make almost any pick sound like anything by changing your method of attack. This large parameter space makes the question moot. – May 16 '19 at 12:04
-
Many of these comments suggest extending the answer beyond the domain of the question asked. They want to know why a pick sounds different from a finger, not why various picking techniques sound different, nor how the shape of one's finger alters the sound. @CarlWitthoft, the hammering of a piano string is so outside of this question that I wonder why you suggested it. – Robert Rapplean May 16 '19 at 18:39
Another factor not yet mentioned is the direction the string is traveling as it leaves the plucking appendage or implement. Guitar strings support two primary modes of vibration--parallel to the body and perpendicular to it--and the resonant frequency in these modes will be influenced differently by the shape of the contact points on the nut, frets, and saddles, and (for electrics) by the pickups. Some of the "warmth" of a guitar's sound comes from the interplay of these vibrations as they go in and out of phase, and the initial direction of motion will influence that behavior.
Incidentally, on an electric guitar, this effect may be demonstrated to a somewhat extreme degree by raising the neck pickup excessively and then playing notes high on the fretboard. On one of my guitars, doing that can cause a single string to play two pitches simultaneously that are more than a semitone apart. Having the pitches of the modes be that far apart probably wouldn't be useful musically, but it demonstrates their existence and independence.
- 3,951
- 1
- 16
- 17
-
Do you mean that the magnetic "drag" of the pickup on the string changes the frequency, but only of the perpendicular motion? – Your Uncle Bob May 16 '19 at 15:24
-
@YourUncleBob: Most pickups would probably change the frequency of parallel motion as well, but to a much lesser degree. – supercat May 16 '19 at 15:32
It's because your fingertips are fleshy pads that cover hard bone. When they strike the string and release it, there's not a strong separation, and your skin mutes and muffles the string somewhat. The skin is elastic and will compress somewhat when striking the string, instead of just pushing it more directly. When it leaves the string, it uncompresses somewhat, so it sort of "stays behind" a brief moment (milliseconds) and muffles the string's vibration
Meanwhile, the pick is usually stiff plastic, not very elastic (though they sell different stiffnesses of picks). In any case, it's not as elastic as skin.
When the pick plucks the string, it's a smaller, stiffer surface that strikes the string. When it releases, the pick doesn't rebound (as much as your fingertip skin does), and the string is free to vibrate.
You can demonstrate these principles to yourself by playing finger-style with thick cotton gloves. The cotton is even more elastic, and will muffle the sound even more.
Then try playing with finger picks (what banjo players often use, to keep the sound bright and unmuffled). Instead of elastic skin striking the string, it's now stiff plastic. It will sound more like a string plucked with a guitar pick.
- 148
- 5
-
2Also no. The answer to this question has been studied and documented. It's not guesswork. – Todd Wilcox May 15 '19 at 16:23
-
-
1Yes, see my answer that I just posted. The Campbell/Greated source is not available online, but is very well researched and is probably the second greatest book on musical acoustics after Benade. – Todd Wilcox May 15 '19 at 16:49
Sound is caused by vibrations, and the way something vibrates depends on what hits it. Knock on a wall with your knuckle and then with a hammer. They will sound different because the physical properties of a knuckle are much different than a hammer. This will result in a difference in how the force propagates through the other medium (the wall) and thus will result in the atoms of the wall vibrating in a different manner. Likewise, a string will vibrate differently depending on the physical properties of the object that hits it.
The exact reason for why the atoms in the string are vibrating in the manner they are can be release speed, but there are lots of factors that can cause slight differences in the resulting vibration which may or may not be audible to humans.
- 117
- 3


