In 12-tone Equal Temperament (the modern ubiquitous tuning system for most instruments), the mathematical formula for the frequency of any note is:

Where f(x) is the frequency of the note in Hertz, and x is the number of semitones your note is above Middle C (C4).
This is because an octave is defined to be exactly twice the frequency of its starting note, and there are twelve semitones in an octave. Don't let all the fancy math symbols confuse you; this is basically just saying that you multiply 440 by the twelfth root of two once for every half-step higher up you go. And of course, the (x-9) is just to get everything relative to middle C instead of A4 (for the musicians), which is defined to be 440Hz.
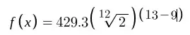
In your example, however, A4 is defined to be 429.3Hz. This means we'll substitute into our formula like this:

Notice since we started with A4=429.3Hz, the formula has changed. Also, C♯5 (the C♯ above A4) is 13 semitones above middle C, and obviously 13-9 simplifies to 4 (or you could reason that C♯5 is 4 semitones above A4. Same result!).
Simplifying,

and we find that
Et voilà, your note has a frequency of 540.88Hz.
This is the pure mathematical way of doing this kind of problem. There are probably other ways to do this, but this way is pretty cool and it does make a lot of sense. Also, that formula in the beginning is the general case formula, and its inverse is useful to go from a known frequency to a note:

Where f(x) is the number of semitones above middle C, and x is the frequency in Hertz. The two formulae above are equivalent.
Note: You might end up with a decimal output, whic is okay, since not all frequencies correcpond exactly to a note in 12-TET. So if you ended up with, say, 16.21 as your output from those functions, you know your note is slightly higher than D5.