How do Elo ratings compare with percentiles, and is there a chart breaking percentiles down by Elo rating ranges?
Asked
Active
Viewed 3.7k times
2 Answers
13
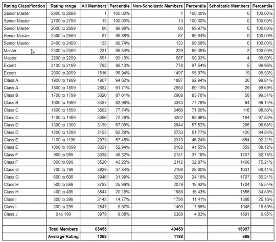
Dated 2004, but probably not far off: USCF Regular Rating Distribution Chart:
The graphics on this blog post were interesting:
walen
- 625
- 6
- 15
Eve Freeman
- 3,769
- 19
- 26
11
If you have FIDE Elo, you can calculate your percentile as follows:
- Locate your FIDE Card at http://ratings.fide.com/
- Look at your card your position in the word, your continent or your country.
- Look up the FIDE Card of the player you consider their play deserves your appreciation of percentile 0%.
- With the positions obtained with both look ups, you can find your percentile in the world, your continent or your country on the basis of FIDE Elo by simply dividing the numbers in their category and multiplying them by 100.
Pep
- 1,374
- 2
- 11
- 16
-
1@David: Arpad Elo invented his rating system *for* the USCF, which started using it 10 years before FIDE: https://en.wikipedia.org/wiki/Elo_rating_system – GreenMatt Jun 10 '19 at 20:23


