5

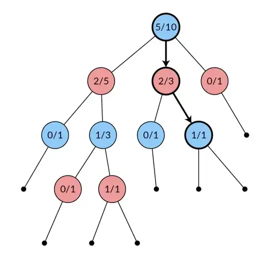
How do we know w_i which is not possible to calculate using the tree search only?

From the lc0 slide, w_i is equal to summation of subtree of V ? How is this equivalent to winning ?

tree

UCB formula

leela formula

Rewan Demontay
  • 16,942
  • 4
  • 65
  • 109
kevin
  • 161
  • 3
  • 1
    Beautiful chess question! Please don't expect to post a ton of formulas and graphs about something completely unrelated to chess without even explaining its context but still expect us to understand it – David Jul 15 '19 at 07:21
  • @David this is perfect example of why novice users dominate this SE and attempt to close non-trivial questions – prusswan Jul 16 '19 at 03:58
  • @prusswan I don't want to close this question because it's non-trivial, I want to close it because it has nothing to do with chess. There is like a million Stack Exchange sites about math, statistics, machine learning, artificial intelligence, programming and all of those nerd things, so I see no reason to have yet another one – David Jul 16 '19 at 07:22
  • Highly technical questions about leela might find more understanding on leela discord than here. – hoacin Jul 16 '19 at 11:30
  • 2
    I don't think this question needs to be closed. However, it needs a small introduction to give some context (about leela, her general algorithm, the part where $\omega_i$ appears...) so that people can have an idea what this is all about even if they cannot answer themselves. – Evargalo Jul 16 '19 at 15:41

1 Answers1

4

As you noted, w_i is not calculated by the search tree. It is simply the number of wins out of the total simulations performed at that node (if this is the method used to score the node). This scoring mechanism is also known as playout.

prusswan
  • 1,084
  • 9
  • 12