7

In Microsoft Word 2007 if I insert an equation the font style is Cambria Math (Italics). I like the look of this font for equations. However, I would prefer to use equation field codes rather than the equation editor. When I use the same font style with a field code it doesn't look like the font in the Equation Editor:

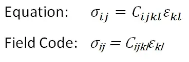
screenshot of comparison

How can I match the Equation Editor font in the field code? Ideally, I'd like to set this font in a Style.

brady
  • 185
  • 1
  • 2
  • 6
  • That's not the same font (or characters). The serif is way different. –  May 25 '12 at 22:22

1 Answers1

5

The italic letters in Word 2007 Equation Editor are not normal letters in italic but special characters from the Mathematical Alphanumeric Symbols block in Unicode. For example, when you type “C” in Equation Editor, it gets converted to U+1D436 MATHEMATICAL ITALIC CAPITAL C.

Such characters and their glyphs have been designed for mathematical usage. This is reflected in their spacing. And their design is genuinely italic. In contrast, if you take a letter in the Cambria Math font and apply Ctrl I to it, Word uses “fake italic” or “engineering italic”, which means just algorithmic slanting. The letters get excessively slanted and do not change their basic form. This can easily be seen by comparing italic “a” in Cambria Math and U+1D44E MATHEMATICAL ITALIC SMALL A.

To enter a mathematical italic character outside Equation Editor, enter its Unicode number (the characters “U+” may be omitted if the preceding character is not a digit or a letter A–F or X) and press Alt X. Alternative, use the Insert → Symbol command, set font to Cambria Math, and scroll down the table of characters down to the last part to “Extended characters – Plane 1” or use the dropdown to get there.

If you wish to use such characters frequently, the best way is probably to set up a keyboard layout for them, using MSKLC.

Jukka K. Korpela
  • 5,035
  • 2
  • 20
  • 33
  • I was afraid the answer wasn't going to be simple. I have no experience with MSKLC but I will look into it. In the meantime, do you think it might be best to just use a different font altogether for my "Equation" style? Something with the proper spacing and serif? Would you have any recommendations? Some quick Google searches didn't yield much. – brady May 29 '12 at 13:22
  • I don’t have much experience with field codes and can’t tell how much the font issue matters there. But in normal copy text, I’ve found it necessary to use consistently Equation Editor inline formulas for all math expressions (provided that I use it for display formulas). There’s just too big a difference between, say, italic “x” in Cambria and the mathematical italic x produced by the Equation Editor. MSKLC is easy to use, though I think I’ll need to find a way to set up layouts in a more convenient way than manually (when I find time). – Jukka K. Korpela May 29 '12 at 16:56
  • 1
    @brady: You could use Cambria instead of Cambria Math for anything textual. Cambria Math was never intended to be used for body text and as such lacks italic and other styles, but Cambria has them. Just switch back to Cambria Math (not italic) if you need symbols. – Joey Oct 04 '17 at 05:55