I hope this is an appropriate question for this site as I've been wanting a reputable answer. Of course the length of games can vary wildly, but what is the expected number of moves until either a checkmate or trivial draw position is reached? Preferably the answer will be backed by some evidence and is not just "40 moves" like every other internet source.
-
4You can't really get this information from existing games, since they tend to end (by resignation or agreed draw) long before mate or trivial draw. – dfan Jun 26 '13 at 19:44
-
3@dfan That is true. Perhaps a sample of fast games or those played by engines would be suitable. – Zong Jun 26 '13 at 19:47
-
I have played 225 games and my average number of moves is 28, I am a very aggressive player so some resign early on are by a fast checkmate, here is a link to my stats http://gameknot.com/stats.pl?rbrowne – May 13 '14 at 20:01
-
336 pieces x pi minus 64 squares = 36.53096491487338 moves per game avg. You're welcome. – Oct 19 '15 at 05:12
-
I have a friend who fights on in every losing position, and he often records 60 moves before time pressure forces him to stop taking notation. – Fred Knight Aug 05 '17 at 02:01
5 Answers
I did this graph based on 731,000 games played on the free internet chess server by players with rating above 2000 during the last 13 years with non-blitz time controls. The average length is 79 half moves, the median is 70 and the mode is 51. There are also a lot of very short games due to people resigning early.

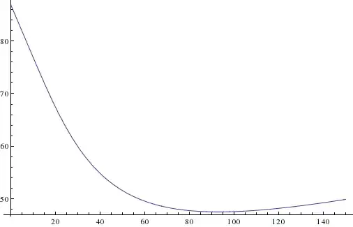
Update: As it turns out, the above curve can be very well approximated by a log-normal distribution. That is the logarithm of the games lengths are normally distributed. We can then consider the expected game length remaining given how many moves have already been played, which may be interesting for chess engines. It looks like this:

If you want to use it for figuring out how to use your time(*), the function can be very well approximated by the following expression. (Again remember, that the result is in half moves.).
59.3 + (72830 - 2330 k)/(2644 + k (10 + k))
(*)Though you would probably want to take other factors into consideration as well.
- 881
- 9
- 8
-
3How much better does it fit a log normal as opposed to a Weibull, Gamma, or Beta distribution? – StudentofEuler2718 Apr 24 '18 at 19:16
-
2Do you happen to have this data on hand? I would like to have a look at it myself. – Ivar Eriksson Mar 08 '20 at 22:31
EDIT: I opened Mega Database 2012 and found there were 515539 games ranging from the 1400s to 2011. As I couldn't find an efficient way to parse the data, I just used the median move value (I hope it's normally distributed. It's probably not though as the largest number of moves was 277... oh well). The median value was 37 moves, but I'm sure that it's a right-skewed distribution given the max value. If I had to hazard a guess to the average value, I'd put it slightly greater than 40 :)
In addition, keep in mind that these are all recorded games. This means that their origin can be from tournaments, matches, or even online competitions. Indeed, the 277 move game was played in a tournament on the Internet Chess Club.
Oddly enough, I found that the average length of a game (played by humans) is roughly 40 moves. Based on the statistics provided by the Chessgames database (685,801) games, the average number of moves is 40.04. Chessgames tends to only include player games of a high caliber, so this doesn't really take into account amateur tournaments. As these games are played by humans, few of them tend to end in checkmate but rather a draw by mutual agreement or a resignation in a lost position.
This may not be the best source, but I've played in over 320 tournaments in my life and many of these games are imported into my personal database. The average number of moves per game is around 38.
I do not have access to my Mega Database 2012 (a database provided by Chessbase) at the moment, but I will post the average number of moves of approximately 5 million historical games when I open it.
- 3,814
- 18
- 30
-
1Relevant? [Why does FIDE classical chess have a time limit for the first 40 moves?](https://chess.stackexchange.com/a/34890) – BCLC Apr 24 '21 at 15:02
We can make a small analysis from a theoretical point of view:
- Let us call 'n' the number of pieces on the board.
- In a match between players of similar strength, it is expected to find ~n/2 pieces for each side.
- When it is White's turn to move, they have 64-n/2 available squares, n/2 are occupied by rival pieces. That is, fc=(n/2)/ (64-n/2) is the fraction of moves that result in a piece capture
The same number applies for Black.
n=32 --> fc~1/3, at the end of the opening, with pieces fully developed
- n=22 --> fc~1/5, middle-game
- n=16 --> fc~1/7, end-game
So, on average, we can expect that each player loses 1 piece every 5 moves approximately. It takes ~8*5=40 moves to reach a population of 8 pieces vs 8 pieces. After 40 moves, with both "armies" reduced to its half, there is a reasonable expectation that one of them has already lost its king, and so the match is ended.
- 429
- 5
- 5
The average length of chess games depends highly on the reflection time schedule since decisive errors happen very often under time pressure. Cf. https://ingram-braun.net/public/research/parlour-games/article/statistics-length-chessbase/
- 199
- 5
Sahovski Informator publishes approximately 700 of the Best or Most Interesting games of the preceding several months, played by Grandmasters around the world. I have found the average number of moves in several volumes to converge at between 43 and 44 moves per game. This is, of course, for Grandmasters in tournaments or matches, so they are not giving up easily. Also, interestingly, the number of moves is slowly increasing as time goes forward, indicating perhaps that fewer mistakes are being made, so that games are taking longer.
Also, there is a small variation in length based on the openings - e4-e5; d4-d5; d4-nf6; e4-c5 etc, but it doesn't seem significant.
- 21
- 1